5 tips voor effectieve Digital Out of Home creatie deze feestdagen
Too much branding does not kill an ad
Dankzij programmatic digital out-of-of-home advertising hebben marketeers nu meer instrumenten in de strijd om de aandacht van consumenten buitenshuis. In deze eerste blogpost behandel ik enkele best practices om die visuele toolkit slim in te zetten tijdens de kerstcampagnes.
Boost voor programmatic digital out-of-home door noodzaak voor flexibiliteit
De digital out-of-home (DOOH) markt is al een tijdje met een opmars bezig. Onderzoek en prognoses door IAB Europe in 2020 vertellen dat de DOOH-markt in 2024 maar liefst 13 miljard waard zal zijn, terwijl de traditionele OOH-markt stabiel blijft. 81% van de adverteerders zegt DOOH aanbevelen of overwegen in hun mediaplannen in de komende 12 maanden.
Bovendien gaf de pandemie de programmatic inkoop van de DOOH inventory een flinke boost. Doordat het bewegingsgedrag van mensen plotsklap kon veranderen met de komst van nieuwe maatregelen of versoepelingen, hadden merken en bedrijven meer flexibele inkoop-opties nodig. Op het laatste moment pasten ze de targeting locaties aan; in plaats van langs snelwegen, naar rondom supermarkten en woonwijken. Of ze wijzigden last-minute de boodschap of toonden liever ander campagnemateriaal, die beter aansloot bij de context op dat moment. Bijvoorbeeld op basis van real-time data zoals locatie, tijd, weersomstandigheden of het bewegingsgedrag.
Visuele toolkit voor buitenreclame breidt uit
Creatief gezien krijgt OOH dus ook een flinke boost, dankzij de digitale en datagedreven mogelijkheden. Naast statische advertentie materialen, kunnen marketeers nu ook bewegende en gelokaliseerde advertenties tonen op reclameschermen buiten. Net als op mobile en desktop.
Dat geeft een hoop nieuwe mogelijkheden, maar hoe gebruik je deze visuele instrumenten effectief voor het buitenreclame kanaal? Het digitale buitenreclame scherm is immers not just another screen dat mensen met de hand bedienen of bekijken van vlak onder hun neus. We lopen, rijden, vliegen er voorbij. Tegelijkertijd met nog tig andere weggebruikers of passanten. Terwijl het regent, sneeuwt of de zon schijnt.
Kortom, er gebeurt veel in de buitenreclame omgeving. Daarom kan het extra lastig zijn om in deze context de aandacht de consument te grijpen. Rekening houdend met deze context omstandigheden, en op basis van inzichten uit neuro- en gedragswetenschap, behandel ik 5 praktische creatie tips hoe die nieuwe visuele toolkit te gebruiken.
#1 Kleurcontrast het meest krachtige instrument in de strijd om aandacht van consumenten
Best practice: vergroot de aandacht voor je advertentie met het gebruik van contrasterende kleuren.
Iedereen in de reclamewereld weet dat het simpelweg aanbieden van een visuele boodschap niet voldoende is. Aandacht moet je in de eerste plaats sturen en trekken voordat je de inhoud van je boodschap kunt overbrengen. Kleur is een signaal dat onze hersenen snel en automatisch verwerken, en daarom is het een eenvoudige maar krachtige manier om de aandacht te trekken.
Maar, het effect van één kleur hangt sterk af van de andere kleuren eromheen. Zij kunnen elkaar versterken of verzwakken. Zo kan een zwart gekleurde advertentie ten opzichte van de vaak witgekleurde websites goed opvallen. In het straatbeeld, waarin veel meer donker gekleurde objecten staan en bewegen, kan dit effect heel anders zijn voor diezelfde advertentie. In de beeldende kunst noemt men dit kleurcontrast.

Afbeelding: Vorig jaar kerst gebruikte Coca-Cola het iconische rood om op te vallen in het aandachts geweld rondom het Londense Piccadilly Circus. Bron: Coca-Cola Company.
Neurowetenschappelijke experimenten wijzen uit dat een object met het meeste (kleur)contrast de aandacht afleidt van andere stimuli in de omgeving. Dus wanneer je kiest voor een afwijkende straatbeeld kleur (zoals Coca Cola doet in het bovenstaand voorbeeld) in je DOOH-advertentie, vergroot je de kans dat ogen van je consument even naar jouw reclame reikt.
Biedt de merkstijl handleiding helaas geen oplossing voor het gebruik van opmerkzame kleuren? Speel dan met een kleurcontrast binnen het canvas van je uiting door twee verschillende kleur(beelden) bij elkaar te plaatsen. Zoals Iittala doet deze feestdagen. Ook door een scherp contrast binnen één vlak aan te brengen, vergroot je de kans dat je advertentie wordt opgemerkt.

Afbeelding: Ittalla gebruikt twee afbeeldingen met een waaneembaar complementair kleurcontrast in één canvas: de bovenste afbeelding heeft een licht kleurenpalet en de onderste afbeelding een donkergroen kleurenpalet. Waar het contrast het grootst lijkt, trekt de aandacht. In dit geval is dat op dezelfde plek als waar de key boodschap van de campagne staat. Extra slim dus.
#2 Informatie die ons (persoonlijk) aangaat valt sneller op
Best practice: Gebruik HTML5-built DOOH-creatives om je doelgroep te bereiken met een relevante OOH-campagne.
Hoewel we in staat zijn om met onze zintuigen miljoenen stukjes aan informatie aan te voelen, selecteren onze hersenen welke stukjes informatie wel of niet worden doorgelaten. Dit om te voorkomen dat alle energie in ons lichaam verbruikt wordt door de hersenen.
Onderzoeken suggereren dat onze hersenen vaker voorrang lijken te geven aan zelfgerelateerde informatie of informatie waarmee wij als bekend zijn en verankerd is in ons brein (attentional bias). Dit kan informatie zijn zoals jouw eigen naam, maar ook informatie dat aansluit bij je voorkeuren of gedrag. Zo is van rokers is bijvoorbeeld aangetoond dat ze meer aandacht hebben voor rookgerelateerde signalen om hen heen. Tevens kan dit een verklaring zijn voor waarom zaken of reclameboodschappen jou ‘plotseling’ meer kunnen opvallen. Bijvoorbeeld als een vriend of vriendin je vertelt over een nieuw kledingmerk, waarnaar je het ‘opeens’ overal ziet.
Met dat inzicht voerden we al dynamische en gepersonaliseerde (retargeting) campagnes op sites en mobiel met behulp van HTML5-banners. Nu de meeste out–of-home publishers in Nederland ook HTML5-built creatives ondersteunen, is hetzelfde mogelijk in programmatic DOOH campagnes. Het betekent dat je de kans hebt om consumenten op een specifieke locatie te verrassen met boodschap die op dat moment heel relevant is. Data triggers hiervoor zijn o.a. locatie, tijd en weersomstandigheden zoals Starbucks gebruikte in hun december campagne vorig jaar. Vergeet ook eigen data niet. Zo is het mogelijk geautomatiseerd specifieke product promoties te tonen afhankelijk van tijd of locatie of bijvoorbeeld informatie van dichtstbijzijnde verkooppunt.

Afbeelding (boven en onder): Starbucks stemde de boodschap en afbeelding van de campagne aan op basis van de weersomstandigheid op dat moment en op die locatie. Bron: JCDecaux.
#3 Looming motion de slimste animatie Digital Out of Home
Best practice: In plaats van abrupte bewegingen, voeg subtiele animaties toe aan je DOOH creatie.
Studies die in de afgelopen 10 jaar zijn uitgevoerd, hebben aangetoond dat de stimulus beweging onze hersenen tevens sterk beïnvloeden. Want een verandering in onze omgeving kan mogelijk levensbedreigend zijn. Denk aan een naderende auto of agressieve hond. Het kan zelfs zo sterk zijn, dat het ons lichaam direct activeert. Bijvoorbeeld om het gevaar te ontwijken.
Dankzij de digitale out-of-home schermen kunnen marketeers op de meeste locaties nu ook video of beweging toevoegen om hun OOH creatives te versterken. Maar, door campagnes uit te voeren op verschillende DOOH-schermen door heel Nederland, weten we dat niet elk type beweging of motion even handig is in termen van communicatie-overdracht. Immers, laten we niet het karakter van het marketingkanaal vergeten: het is vorm van reclame die consumenten op hun doorreis van A naar B tegenkomen. Soms is die passeertijd kort en soms wat langer, maar in de meeste gevallen gaan ze er aan voorbij. Het is dus slim om goed na te denken over wat voor een type beweging je toevoegt aan je advertentie.
Het vertonen van een video story of teksten die in beeld verschijnen of afwisselen, zien we vaak niet als de beste keuze. Deze abrupt motions zijn namelijk niet continu in beeld. Je vergroot de kans dat consumenten de kernboodschap missen.
Video: Een voorbeeld van looming motion waarbij de hero afbeelding subtiel inzoomt, in de richting van de consument.
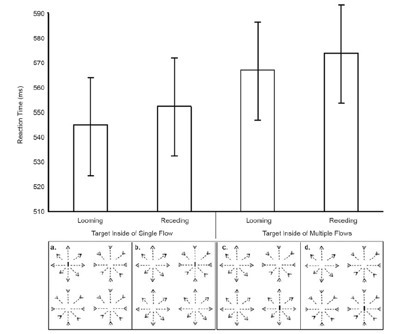
Naast abrupt motion, bestaat er ook zoiets als direction motion. Dit zijn bewegende objecten die van een stilstaand object naar een bewegend object in het gezichtsveld gaan. Er zijn twee soorten hiervan: looming en recenting motions. Een looming motion is wanneer een object zich verwijdert van het centrale punt van uitzetting, terwijl een recenting motion een beweging is waarbij een object in de tegenovergestelde richting beweegt. Veel studies suggereren dat looming motions sneller de aandacht trekt dan recenting motions.

Afbeelding: Resultaten van een experiment met looming en receding animaties. De reactietijd in milliseconden is het kortst bij looming motions. Bron: Joaquim Carlos Rossini.
Het voordeel van direction motion is dat je deze eenvoudig toepast op bestaand campagnemateriaal. Bijvoorbeeld door een subtiele zoom te geven aan de afbeelding op de achtergrond, zoals het voorbeeld hierboven. Of middels het toevoegen van cinemagraph effect, zoals de Ghostbusters DOOH-campagne van Sony Pictures. Bovendien kan zo de hoofdboodschap continu in beeld blijven staan, zodat de consument deze niet over het hoofd ziet.
Video: Sony Pictures voegt op een slimme manier beweging toe aan de DOOH-advertentie middels een foto-animatie op de achtergrond. Bron: Sony.
#4 Het brein verwerkt afbeeldingen sneller
Best practice: Gebruik een afbeelding of illustratie om snel het product- en merk-boodschap over te brengen.
Net besprak ik al dat het goed is om bewust te zijn de passeertijd van consumenten ten aanzien van OOH-schermen. De uitdaging is dus niet alleen om de aandacht van de consument te trekken, maar ook om je campagne boodschap over te brengen in die soms korte tijd.
Een team van neurowetenschappers van MIT, concludeerde dat het mensenbrein al volledige afbeeldingen kan verwerken na slechts 13 milliseconden waarnemen. Zelfs slaan we deze op in onze langetermijngeheugen bij sublieme waarneming, ondervonden zij.
Een duidelijke beeld vertoning van een product of service helpt dus niet alleen bij het snel overbrengen van de boodschap. Het zorgt er ook voor dat de boodschap of het product een plekje in het langetermijngeheugen krijgt. Iets wat kan leiden tot mental availability, zoals Byron Sharp (‘How Brands Grow’) dat noemt.

Afbeelding: Ondanks dat Oatlys buitenreclame veel tekst bevat, houden zij rekening met de tijd die nodig is om dat te verwerken en voegen ze een prominente product foto erbij om het merk- & product bewustzijn te maximaliseren. Bron: JCDecaux.

Afbeelding: Een voorbeeld van hoe apps op een snelle en duidelijke manier de app kunnen uitleggen: een afbeelding die de branche visualiseert samen met een screenshot van de app in een smartphone.
#5 There is no such thing as too much brand!
Best practice: Size does matter!
Er wordt wel eens beweerd dat het direct, of te veel, laten zien van het merklogo ten koste gaat van je boodschap-overdracht. Mensen zouden massaal afhaken als, of zodra, het logo in beeld is.
Gedrag- en neuro-onderzoeken vinden hiertussen echter géén verband. Wél staat vast dat als mensen géén logo waarnemen, de kans toeneemt dat de campagneboodschap niet gekoppeld wordt aan het juiste merk.
Sterker nog, een bekend beeldmerk kan juist zorgen voor méér aandacht voor de DOOH-campagne. Zoals al aangestipt bij inzicht #2: onze hersenen geven prioriteit aan informatie die voor ons relevant is of waaraan we eerder aan zijn blootgesteld (informatie dat al bekend voor ons is). En het wordt nog beter: hoe vaker we dit waarnemen, des te positiever we het beoordelen. Dit psychologische fenomeen kennen we als het mere-exposure effect.
Op basis hiervan durf ik te stellen: too much branding does not kill an ad. Wil je het logo effectief gebruiken in je DOOH-campagne, dan kunnen de volgende vuistregels je daarbij helpen:
Size does matter: zorg ervoor dat je logo herkenbaar is wanneer je op 5 meter afstand van het OOH-scherm staat, maar óók op 15en 20 meter. Gebruik hiervoor de simulators op de sites JCDecaux of Exterion Media
50%-regel: als je het logo plaatst in de bovenste 50% van het canvas, is de kans het grootst dat deze in het zichtveld valt voorbijgangers. Bovendien voorkom je dat andere objecten (fietsen, containers, mensen) in de fysieke omgeving het merk blokkeren.

Afbeelding: Parkmobile plaatst het logo voldoende groot bovenaan in het canvas. Tevens gebruikt het andere merk assets (de groene kleur en de pijlen) om de merkherkenning en de aandacht voor het merk te vergroten.

Afbeelding: UGG geeft het logo een prominente plek in hun kerstcampagne uitingen.
A Merry creative Christmas
Hopelijk bieden deze creative best practices jou de munitie en inspiratie om een impactvolle DOOH-campagne te ontwikkelen. Wellicht dat je ze nog kunt toepassen in huidige je kerstcampagne. Immers, zo flexibel is digital out-of-home. Lukt dat niet meer, dan zijn de inzichten en tips net zo relevant in 2022. Dus laten we er ook in het nieuwe jaar iets moois van maken!
Bronnen, verantwoording & verder lezen
IAB Europe Navigator – Programmatic Out of Home Advertising (pdf)
“First attention then intention: Insights from computational neuroscience of vision” (Milica Milosavljevic*, Moran Cerf)
Looming motion and visual attention – Joaquim Carlos Rossini
MIT News – In the blink of an eye
Romaniuk, J. (2019). Building Distinctive Brand Assets. Oxford University Press.
The mere exposure effect for visual image – Kazuya Inoue, Yoshihiko Yagi & Nobuya Sato
Plaats reactie
Je moet ingelogd zijn op om een reactie te plaatsen.